2ª PARTE
01- (UFRN) O sal (cloreto de sódio) e o petróleo
(hidrocarbonetos) estão entre as principais matérias-primas potiguares. O gás
natural, obtido em quantidade nos poços petrolíferos, consiste numa mistura de
hidrocarbonetos leves, sendo metano (CH4) e etano (C2H6)
seus principais componentes. Por outro lado, a eletrólise da solução de cloreto
de sódio (NaCℓ) produz soda cáustica (NaOH) e cloro gasoso (Cℓ2).
Diante da dis-ponibilidade dessas substâncias, um grupo de estudantes da UFRN
projetou um processo para obtenção de álcoois leves (metanol e etanol), de
importância econômica, a partir de sal e gás natural, de acordo com as reações
abaixo:
A respeito do mecanismo de cada etapa da reação,
pode-se dizer que ocorre, respectivamente,
a) cisão homolítica e substituição nucleofílica.
b) cisão homolítica e substituição eletrofílica.
c) cisão heterolítica e substituição nucleofílica.
d) cisão heterolítica e substituição eletrofílica.
02- (UFPB) A reação de halogenação dos alcanos é uma reação
do tipo
a) adição nucleofílica.
b) adição eletrofílica.
c) substituição nucleofílica.
d) substituição eletrofílica.
e) radical livre.
03- (UFPB) Em certas condições, cloro (Cℓ2) reage
com o 2,3-dimetil2-buteno e produz, além do HCℓ, o
1-cloro-2,3-dimetil-2-buteno. O mecanismo desta reação é do tipo
a) adição nucleofílica.
b) adição eletrofílica.
c) substituição via radical livre.
d) substituição eletrofílica.
e) substituição nucleofílica.
04- (UEPB) Analise as espécies químicas a seguir:
Assinale a alternativa que apresenta a seqüência
correta.
a) Radical livre, reagente nucleófilo, reagente
nucleófilo, reagente eletrófilo.
b) Reagente eletrófilo, reagente nucleófilo,
reagente nucleófilo, radical livre.
c) Reagente nucleófilo, reagente eletrófilo,
reagente nucleófilo, radical livre.
d) Reagente nucleófilo, radical livre, reagente
nucleófilo, reagente eletrófilo.
e) Reagente eletrófilo, radical livre, reagente
nucleófilo, reagente nucleófilo.
05- (UFPE) Considere as reações orgânicas:
A - HCCCH3 + H2 ¾® H2CCHCH3
B - CH3CH2Cℓ + OH- ¾® CH2CH2 + Cℓ-+H2O
C - CH3COOCH2CH3 +
H2O ¾® CH3COOH + CH3CH2OH
D - C6H6 + HNO3 ¾® C6H5NO2 + H2O
É correto afirmar que
0-0) A reação
A é uma hidratação.
1-1) A reação
B é uma substituição.
2-2) A reação
C é uma hidrólise.
3-3) A reação
D produz um composto alifático.
4-4) Na
reação B o comprimento da ligação carbono-carbono é alterado.
06- (UFC) As reações orgânicas podem ser classificadas como
sendo de adição, substituição e eliminação. Analise as equações químicas
apresentadas abaixo:
I- CH3Cℓ + KOH ¦ CH3OH +KCℓ
II- CH2 = CH2
+ Br2/CCℓ4
¦ BrCH2 - CH2Br + CCℓ4
III- CH3CH2CH2 - OH ¾® CH3CH CH2
+ H2O + HCℓ (meio H+)
A opção correta é:
a) I- caracteriza uma reação de adição
eletro-fílica;
b) III- caracteriza uma reação de eliminação;
c) III- caracteriza uma reação de substituição nucleofílica;
d) I- caracteriza uma reação de hidrogenação;
e) II- caracteriza uma reação de substituição eletrofílica.
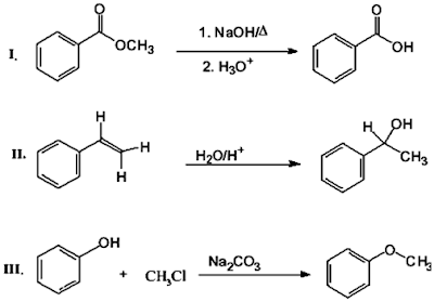
07- (UFC) Observe as reações orgânicas relacionadas abaixo:
Analise as seguintes afirmativas:
1.
A reação I é uma substituição núcleofílica no
carbono insaturado de um éster metílico para gerar um ácido carboxílico
aromático.
2.
A reação II é uma adição nucleofílica à uma olefina
monossubstituída para gerar um álcool secundário.
3.
A reação III é uma substituição núcleofílica no
carbono saturado do cloreto de metila para a formação de um éter aromático.
Considerando as afirmativas 1,
2 e 3, assinale a alternativa correta.
a) Somente 2 é verdadeira.
b) 1 e 2 são verdadeiras.
c) 1 e 3 são verdadeiras.
d) 2 e 3 são verdadeiras.
e) Somente 1 é verdadeira.
08- (UFC) As reações orgânicas relacionadas abaixo
possibilitam a preparação de compostos de interesse comercial, por exemplo, os
protetores solares (a), e a preparação de matéria prima (b, c) para a
fabricação de inseticidas, corantes, pigmentos e anti-sépticos
Analise as seguintes afirmativas, relacionadas com
as reações X, Y e Z:
I.
X é uma reação de substituição, caracterizada como
alquilação de Friedel-Crafts.
II.
Y é uma reação de adição,
caracterizada como halogenação.
III.
Z é uma reação de substituição, caracterizada como
halogenação.
IV. Com base nas informações acima, assinale a alternativa correta.
a) I e II são verdadeiras.
b) I e III são verdadeiras.
c) Somente II é verdadeira.
d) II e III são verdadeiras.
e) Somente III é verdadeira.
09- (UNIFOR) Considere o processo de obtenção de glicerol (CH2OHCHOHCH2OH)
a partir de propeno CH3CH = CH2, no qual ocorrem as
reações representadas por:
Ocorre uma reação de adição SOMENTE em
a) I
b) II
c) III
d) I e II
e) II e III
10- (UEPA) Os intermediários de reação química são de grande
importância para o entendimento do mecanismo dessas reações. Abaixo estão
representadas três estruturas de intermediários que ocorrem freqüentemente numa
reação química.
Em relação aos intermediários, é correto afirmar:
a) O intermediário I é um carbânion (carbo-ânion).
b) Na formação do intermediário III ocorre cisão
heterolítica.
c) Dois deles são formados por ruptura homolítica.
d) O intermediário II é um radical livre.
e) O intermediário I é formado por cisão
heterolítica.
11- (FUVEST-SP) A reação do propano com cloro
gasoso, em presença de luz, produz dois compostos monoclorados.
Na reação do cloro gasoso com 2,2-dimetilbutano, em
presença de luz, o número de compostos monoclorados que podem ser formados e
que não possuem, em sua molécula, carbono assimétrico é:
a) 1
b) 2
c) 3
d) 4
e) 5
12- (PUC-SP) Sob aquecimento e ação da luz, alcanos sofrem
reação de substituição na presença de cloro gasoso, formando um cloro alcano:
Considere que, em condições
apropriadas, cloro e propano reagem formando, principalmente, produtos
dissubstituídos. O número máximo de isômeros planos de fórmula C3H6Cℓ2
obtido é
a) 5
b) 4
c) 3
d) 2
e) 1
13- (UFPB) A monocloração de alcanos produz derivados
clorados e hidreto decloro. Quantos derivados monoclorados diferen-tes podem
ser obtidos na cloração do isobutano?
a) 2
b) 1
c) 3
d) 4
e) 5
14- (UEPB) Os haletos orgânicos têm estado atualmente em
evidência, devido aos problemas ambientais causados pelo uso indiscriminado de
certas substâncias pertencentes a essa classe de compostos orgânicos. A partir
da reação de monoclorados do 2,4-dimetil-pentano, podem-se obter diferentes
produtos halogenados. Quantos produtos monoclorados podem ser obtidos a partir
dessa reação?
a) 5
b) 3
c) 4
d) 2
e) 6
15- (UEM-PR) Dadas as reações abaixo
assinale o que for correto.
01) O
produto da reação II é somente o paradinitrobenzeno.
02) A reação I ocorre mais
facilmente do que as reações II e III, devido à presença, em I, de um
substituinte ativante do anel aromático.
04) A reação III origina uma
mistura de produtos majoritários com os substituintes ligados nas posições
"orto" e "para" do anel aromático.
08) Na reação I, a nitração da
posição "meta" do anel não será favorecida, pois essa posição não é
ativada pelo efeito do substituinte.
16) Na
reação III, a nitração é dirigida para a posição "meta" do anel
aromático, por essa ser a posição menos desativada pelo efeito do substituinte
SOMA _______
16- (UEPG-PR) Analise a equação química parcial abaixo:
Supondo que os dois reagentes estão em quantidades
equimoleculares, assinale o que for correto.
01) Se Z =
OH, ocorrerão substituições principalmente nas posições 2 e 4.
02) Se Z =
H, ocorrerá a formação do composto 1,3-dimetil-benzeno.
04) Se Z =
NH2, o anel estará ativado nas posições 2 e 3, para a reação de
alquilação.
08) Se Z =
CH3, um dos prováveis produtos será o 1,4-dimetil-benzeno.
16) Se Z =
COOH, ocorrerá substituição na posição 3.
SOMA _______
17- (UFPR) A ordem dos reagentes é um fator determinante para se obter o produto
desejado. Um exemplo disso é a reação do tolueno com os reagentes I e II, nas
seqüências mostradas abaixo.
Considerando que os reagentes
na operação I são HNO3/H2SO4; e que os
reagentes na operação II são KMnO4/OH-/calor, em seguida H 3O, assinale a alternativa
correta.
00) Os produtos em B são ácido o-nitrobenzóico e
ácido p-nitrobenzóico; o produto em D é o ácido m-nitrobenzóico.
11) Os produtos B e D são iguais.
22) Os produtos em B são ácido o-nitrobenzóico e
ácido p-nitrobenzóico; o produto em D é o m-nitrotolueno.
33) Os produtos em B são o-nitrotolueno e p-nitrotolueno; o produto em D
é o m-nitrotolueno.
44) O produto em B é o ácido m-nitrobenzóico; os produtos em D são ácido
onitrobenzóico e ácido p-nitrobenzóico.
18- (UFPE) O metilbenzeno (tolueno) é um solvente industrial
importante e sofre reação com cloro na presença de catalisador, fornecendo
produtos monoclorados, isto é, monoclorotoluenos. Sobre estes produtos, podemos
afirmar que:
São formados cinco produtos monoclorados.
a) o isômero o-clorotolueno
(1-cloro-2-metil-benzeno) forma ligação de hidrogênio intra-molecular.
b) um dos produtos monoclorados formados é o
p-clorotolueno (1-cloro-4-metil-benzeno).
c) os isômeros do clorotolueno formados possuem o
mesmo valor de momento dipolar.
d) os isômeros monoclorados formados são apolares.
19- (UFPR) Considere os compostos orgânicos descritos a seguir.
I.
Hidrocarboneto acíclico insaturado, do qual, após a
adição de 1 mol de Cℓ2 por mol do composto, resulta o
2,3-dicloro-butano.
II. Álcool primário, com 6 átomos de carbono, de cadeia acíclica saturada,
contendo dois carbonos terciários.
III.
Carboxilácido com 4 átomos de carbono, de cadeia
acíclica normal saturada.
IV. Fenol de fórmula molecular C7H8O.
V.
Éster produzido pela reação de ácido etanóico com
etanol.
VI. Composto saturado cíclico, de fórmula molecular C3H4Cℓ2,
com átomos de cloro vicinais, que não apresenta atividade óptica.
Sobre os compostos descritos acima, é correto
afirmar:
01) O
composto I é o 1-buteno.
02) O
composto II é o 2,3-dimetil-1-butanol.
04) A
fórmula estrutural do composto III é A.
08) A
fórmula estrutural do composto IV é B.
16) O
composto V é o etanoato de etila.
32) O
composto VI é o cis-dicloro-ciclopropano.
20- (FUVEST-SP) Considere a reação repre-sentada abaixo:
Se, em outra reação, semelhante à primeira, a
mistura de ácido acético e metanol for substituída pelo ácido
4-hidróxi-butanóico, os produtos da reação serão água e um
a) ácido carboxílico insaturado com 4 átomos de
carbono por molécula.
b) éster cíclico com 4 átomos de carbono por
molécula.
c) álcool com 4 átomos de carbono por molécula.
d) éster cíclico com 5 átomos de carbono por
molécula.
e) álcool com 3 átomos de carbono por molécula.
21- (FTESM-RJ) Metilpropanal reage com cloreto de metilmagnésio e o produto sofre
hidrólise obtendo-se um composto orgânico cujo nome é:
a) 2-metil-1-butanol.
b)
3-metil-2-butanol.
c) dimetilpropanol.
d) n-pentanol.
e)
2-metil-2-butanol.
PELO PROFESSOR EUDO ROBSON
GABARITO
|
01
|
A
|
|
02
|
E
|
|
03
|
C
|
|
04
|
C
|
|
05
|
FFVFV
|
|
06
|
B
|
|
07
|
C
|
|
08
|
E
|
|
09
|
D
|
|
10
|
E
|
|
11
|
C
|
|
12
|
B
|
|
13
|
A
|
|
14
|
B
|
|
15
|
FVFVV
|
|
16
|
VFFVV
|
|
17
|
FFFFF
|
|
18
|
C
|
|
19
|
FVVFVV
|
|
20
|
B
|
|
21
|
B
|
EXERCÍCIO
DISPONÍVEL NO SITE;












Sem comentários:
Enviar um comentário